联系电话: 18017752343

产品中心

专注于生产电子摄像头产品,畅销全球

泉州七夜贸易有限公司

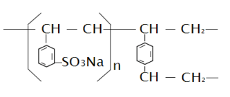
漂伊纯工厂—— 离子交换树脂科技专家,赋能全球水处理与工业净化漂伊纯工厂是专注于高端离子交换树脂及吸附树脂研发、生产与服务的国家级高新技术企业。公司以六大核心树脂产品线为支柱——涵盖强酸、强碱、弱酸、弱碱、螯合及抛光树脂,拥有百余种细分型号,并自主研发三十余种大孔吸附树脂,年产能突破60,000立方米,技术实力与规模位居行业前列。核心优势:全领域覆盖:产品深度服务于电力、电子、核能、石油化工、生物医药、食···

查看更多
4563

服务企业

3654

参与项目

30000

厂房面积

5630

数字仪器

新闻中心

关注行业热点,分享技术知识

  • 30,Dec,2025

离子交换树脂的解毒方法

离子交换树脂具有化学稳定性好、机械强度高、交换能力大等优点,广泛应用于电站锅炉、工业锅炉的水处理和除···

  • 30,Dec,2025

弱碱阴离子交换树脂防止硅污染的方···

有时遇到弱碱阴离子交换树脂由于硅聚合物凝结成块的情况。这样会造成短程运行及弱碱阴离子树脂高的电导率和···

  • 30,Dec,2025

如何去正确的分辨阴阳离子交换树脂···

现在由于离子交换树脂的种类比较多,使得许多人有时无法正确地去分辨离子交换树脂的种类,小编现在为大家简···